ПЛАН ПО ПИТАНИЮ НА 2019 г. » МКҚК"№51 бөбекжай-балабақшасы"
Алматы қаласы Білім басқармасының
«№51 бөбекжай-балабақшасы»
мемлекеттік коммуналдық қазыналық кәсіпорны
Меңгеруші :
+7(727)383-15-40
Әдіскер:
+7(727) 383-20-18
Нашар көрушілер
нұсқасы
15
қаңтар
2019

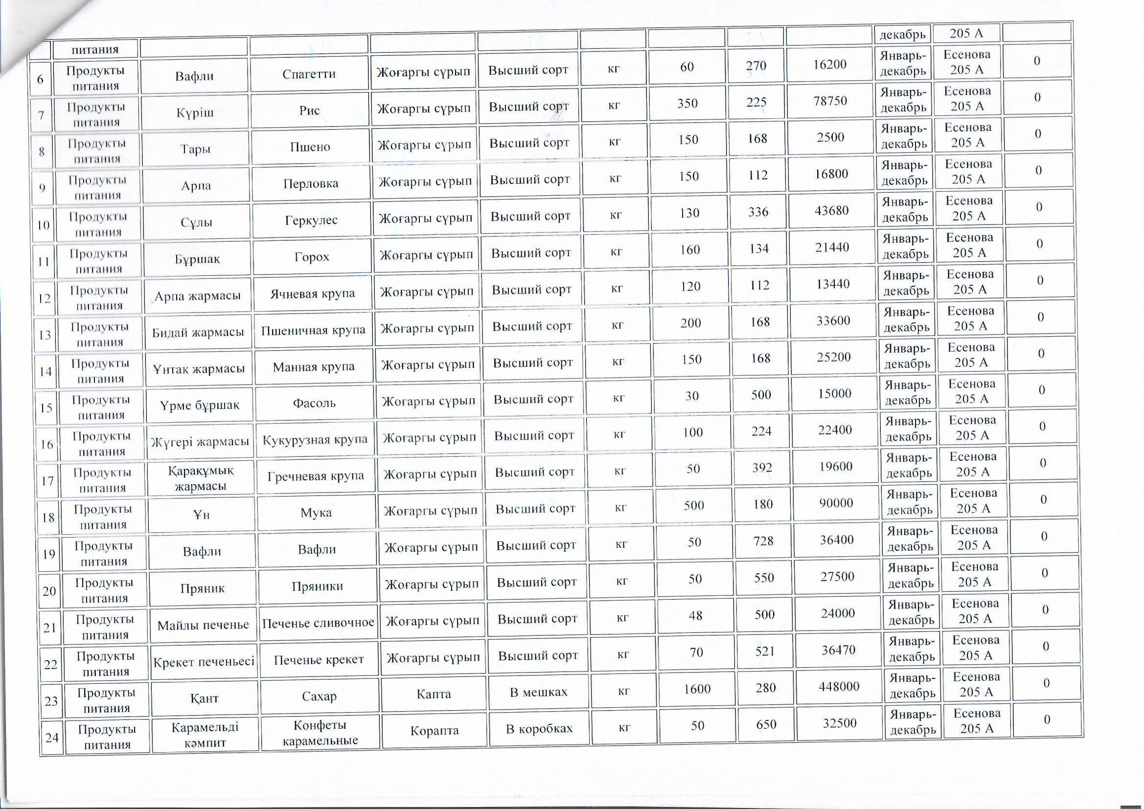
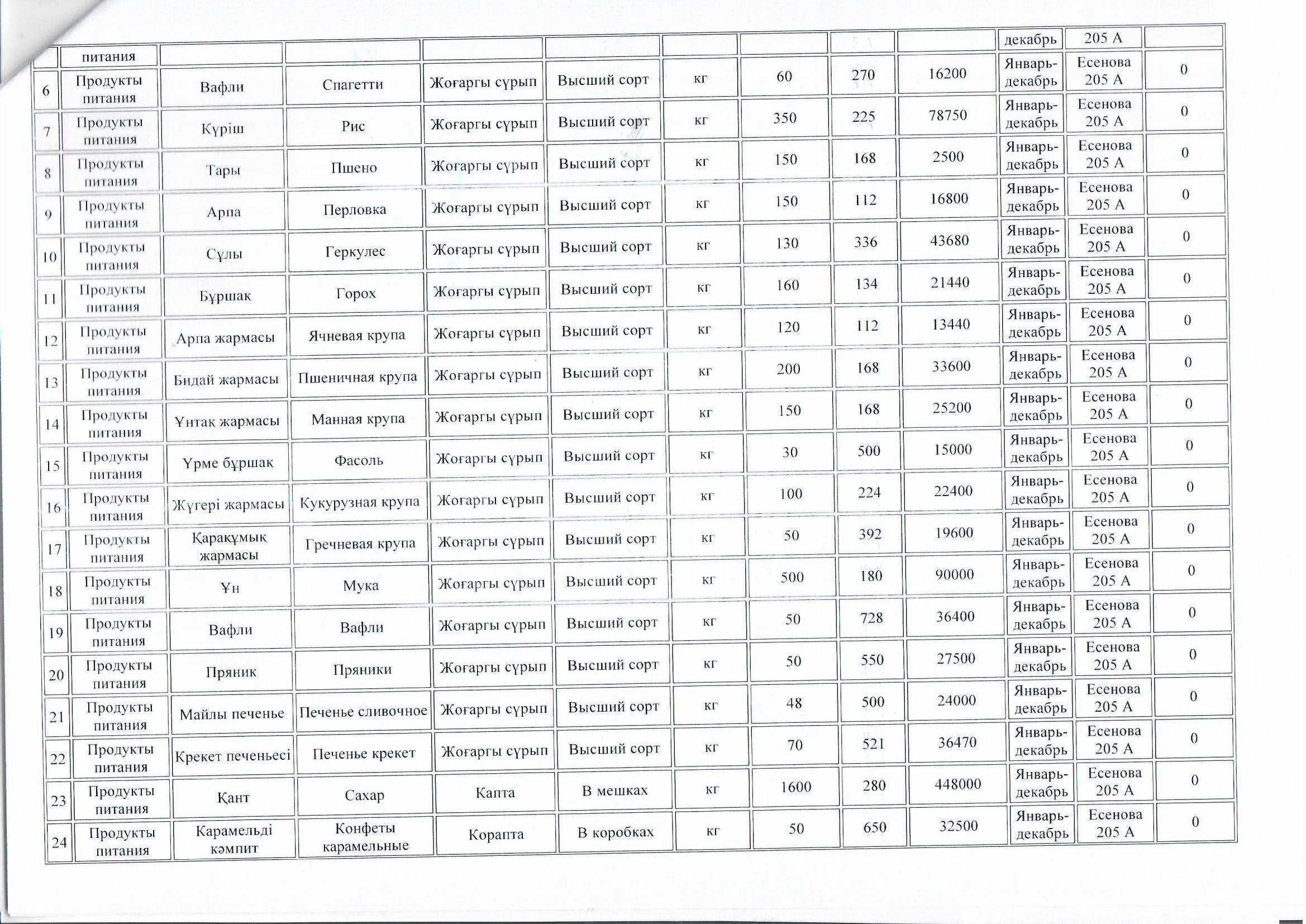
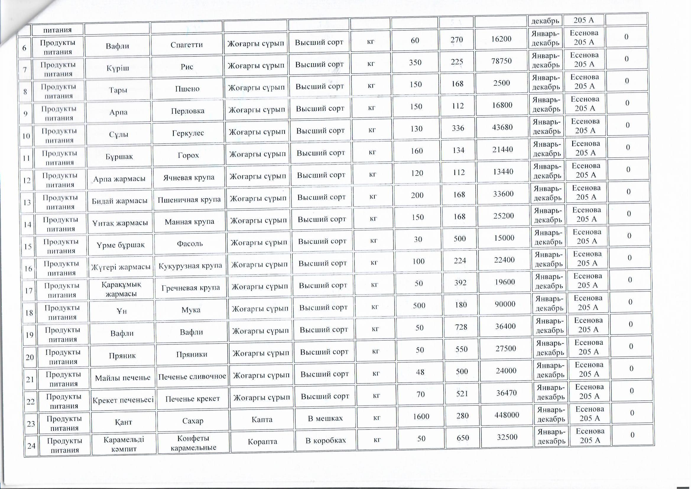
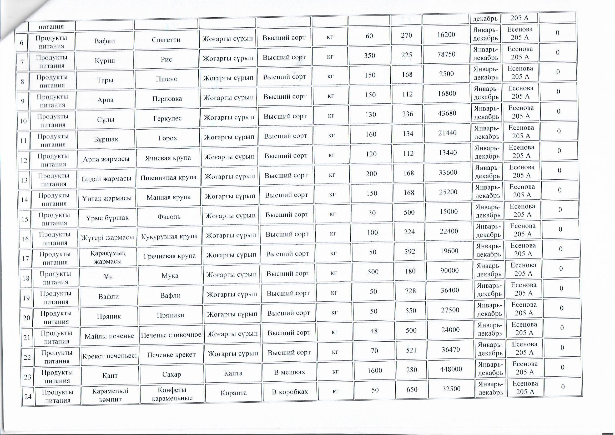
ПЛАН ПО ПИТАНИЮ НА 2019 г.

Прокомментировать
  • bowtiesmilelaughingblushsmileyrelaxedsmirk
    heart_eyeskissing_heartkissing_closed_eyesflushedrelievedsatisfiedgrin
    winkstuck_out_tongue_winking_eyestuck_out_tongue_closed_eyesgrinningkissingstuck_out_tonguesleeping
    worriedfrowninganguishedopen_mouthgrimacingconfusedhushed
    expressionlessunamusedsweat_smilesweatdisappointed_relievedwearypensive
    disappointedconfoundedfearfulcold_sweatperseverecrysob
    joyastonishedscreamtired_faceangryragetriumph
    sleepyyummasksunglassesdizzy_faceimpsmiling_imp
    neutral_faceno_mouthinnocent
Введите код с картинки:* Кликните на изображение чтобы обновить код, если он неразборчив